永续变频器
为工业自动化提供高效稳定的核心动力

HP10高性能风冷矢量变频器

更简单:通过一键设别功能即可调试运行,通过强大的软件来减少调试时间
更灵活:可以根据客户要求,定制功能集成在变频器内部,适应各种场合
更方便:支持CAN,RS485和EtherCAT等多种通讯协议
更快速:变频器输出最高频率800Hz

更简单
更方便
更灵活
更快速

HP10高性能风冷
矢量变频器

HP10高性能风冷矢量变频器为我司自主开发的新一代通用系列产品,
功率段涵盖0.4kW - 400kW ,支持VF控制、开环矢量控制及闭环矢量控制,
可广泛的应用于异步电机和永磁同步电机的调速控制。HP10产品性能优越,
实现转矩自动提升功能提供丰富的接口以及扩展功能,可同时满足同步
电机和异动电机。可广泛应用于储能、风机、水泵、鼓风机、空压机等行业。

标配STO
无速传感控制
强可扩展性
独立风道

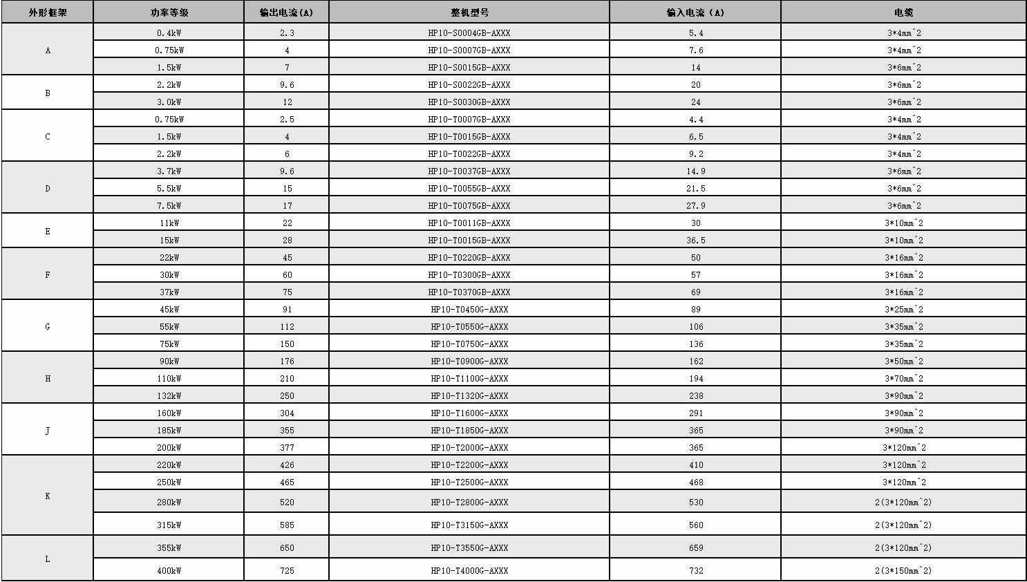
HP10高性能风冷矢量变频器
选型一览表

其他产品

首页 外观 型号 配置 其他